39 publications

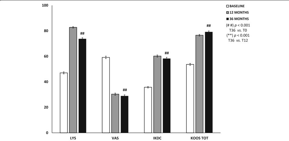
Comparison of short-term clinical outcomes of intra-articular injection of micro-fragmented adipose tissue and stromal vascular fraction cells for knee osteoarthritis treatment: A retrospective single-center cohort study
Takuma Maeda, Satoshi Sobajima, Tomoyuki Matsumoto, Masanori Tsubosaka, Takehiko Matsushita, Hideki Iwaguro, Ryosuke Kuroda, Regenerative Therapy, 2025

Tissue engineering and future directions in regenerative medicine for knee cartilage repair: a comprehensive review
Dragan Primorac, Vilim Molnar, Dimitrios Tsoukas, Ilona Uzieliene, Carlo Tremolada, Petar Brlek, Emil Klarić, Dinko Vidović, Marija Zekušić, Jolita Pachaleva, Eiva Bernotiene, Adrian Wilson, Ali Mobasheri, Croatian Medical Journal, 2024

Infiltration of micro-fragmented adipose tissue under local anesthesia for knee osteoarthritis treatment is a safe procedure: A case series
Bruno Butturi Varone, Daniel Peixoto Leal, Daniel Duarte Perini, Vitor Penteado Figueiredo Pagotto, Riccardo Gomes Gobbi, Marco Kawamura Demange, Clinics, 2024

Microfragmented Adipose Tissue Associated With Collagen Membrane in the Treatment of Focal Knee Cartilage Defect
Daniel Peixoto Leal, Henrique Fuller, Bruno Butturi Varone, Andre Giardino Moreira da Silva, Marco Kawamura Demange, Riccardo Gomes Gobbi, Luis Eduardo Passareli Tirico, Arthroscopy Techniques, 2024

LIPO-AMIC Technique Description: Autologous Matrix Induced Chondrogenesis With Microfragmented Adipose Tissue Graft
Pedro Debieux, Gustavo Guadalupe Ribeiro, Keng Lin Wong, Moisés Cohen, Camila Cohen Kaleka, Arthroscopy Techniques, 2024

Autologous micro-fragmented adipose tissue injection provides significant and prolonged clinical improvement in patients with knee osteoarthritis: a case-series study
Arcangelo Russo, Gabriele Cortina, Vincenzo Condello, Marco Collarile, Roberto Orlandi, Riccardo Gianoli, Emanuele Giuliani, Vincenzo Madonna, 2023

Autologous micro-fragmented adipose tissue associated with arthroscopy in moderate-severe knee osteoarthritis: outcome at two year follow-up
Andrea Giorgini, Filippo Selleri, Francesco Zambianchi, Giacomo Cataldo, Elena Francioni, Fabio Catani, BMC Musculoskeletal Disorders, 2022

Intraarticular injection of microfragmented adipose tissue plus arthroscopy in isolated primary patellofemoral osteoarthritis is clinically effective and not affected by age, BMI, or stage of osteoarthritis
Michele Vasso, Katia Corona, Luigi Capasso, Giuseppe Toro, Alfredo Schiavone Panni, Journal of Orthopaedics and Traumatology, 2022

Autologous Microfragmented Adipose Tissue for the Treatment of Knee Osteoarthritis: Real-World Data at Two Years Follow-Up
Daniele Screpis, Simone Natali, Luca Farinelli, Gianluca Piovan, Venanzio Iacono, Laura de Girolamo, Marco Viganò, Claudio Zorzi, Journal of Clinical Medicine, 2022
Autologous Micro-fragmented Adipose Tissue in Patients With Knee Osteoarthritis: A Systematic Review and Meta-analysis
Jun Wang, Hua-Juan Guo, Cong-Cong Wang, Xian-Wei Zeng, Jun Wu, Xiao Wang, Wei Li, Research Square, 2021

The Effect of Autologous Adipose Derived Mesenchymal Stem Cell Therapy in Chronic Patellar Tendinitis: A Case Study
Alessandro Russo, Vito Coco, Stefano Zaffagnini, Annals of Case Reports & Reviews, 2021

A Prospective Study Comparing Leukocyte-Poor Platelet-Rich Plasma Combined with Hyaluronic Acid and Autologous Microfragmented Adipose Tissue in Patients with Early Knee Osteoarthritis
Ignacio Dallo, Dawid Szwedowski, Ali Mobasheri, Eleonora Irlandini, Alberto Gobbi, Stem Cells and Development, 2021

Autologous Micro-Fragmented Adipose Tissue (MFAT) to Treat Symptomatic Knee Osteoarthritis: Early Outcomes of a Consecutive Case Series
Wouter Van Genechten, Kristien Vuylsteke, Pedro Rojas Martinez, Linus Swinnen, Kristof Sas, Peter Verdonk, Journal of Clinical Medicine, 2021

Microfragmented Adipose Tissue Injection (MFAT) May Be a Solution to the Rationing of Total Knee Replacement: A Prospective, Gender-Bias Mitigated, Reproducible Analysis at Two Years
Nima Heidari, Tiffanie-Marie Borg, Stefano Olgiati, Mark Slevin, Alessandro Danovi, Brady Fish, Adrian Wilson, Ali Noorani, BioMed Research International, 2021
Comprehensive Review of Knee Osteoarthritis Pharmacological Treatment and the Latest Professional Societies' Guidelines
Dragan Primorac, Vilim Molnar, Vid Matišić, Damir Hudetz, Željko Jeleč, Eduard Rod, Fabijan Čukelj, Dinko Vidović, Trpimir Vrdoljak, Borut Dobričić, Darko Antičević, Martina Smolić, Mladen Miškulin, Damir Čačić, Igor Borić, Pharmaceuticals, 2021

Two-year clinical outcomes of autologous microfragmented adipose tissue in elderly patients with knee osteoarthritis: a multi-centric, international study
Alberto Gobbi, Ignacio Dallo, Christopher Rogers, Richard D. Striano, K. Mautner, Robert Bowers, Michael Rozak, Norma Bilbool, William D. Murrell, International Orthopaedics, 2021

Gender-Specific Response in Pain and Function to Biologic Treatment of Knee Osteoarthritis: A Gender-Bias-Mitigated, Observational, Intention-to-Treat Study at Two Years
Tiffanie-Marie Borg, Nima Heidari, Ali Noorani, Mark Slevin, Angela Cullen, Stefano Olgiati, Alberto Zerbi, Alessandro Danovi, Adrian Wilson, unknown, 2021

Open-wedge high tibial osteotomy associated with Lipogems® intra-articular injection for the treatment of varus knee osteoarthritis - retrospective study
Stefano Magnanelli, Daniele Screpis, Paolo Di Benedetto, Simone Natali, Araldo Causero, Claudio Zorzi, Acta Biomedica, 2020

Clinical evaluation of micro-fragmented adipose tissue as a treatment option for patients with meniscus tears with osteoarthritis: a prospective pilot study
Gerard A. Malanga, Paul S. Chirichella, Nathan S. Hogaboom, Teresa Capella, 2020

Chemical Profile and Clinical Efficacy of Adipose-Derived Mesenchymal Stromal Cell Therapy in the Treatment of Knee Osteoarthritis
Jack K. Haberl, Nathan S. Hogaboom, Gerard A. Malanga, Biologic Orthopedic Journal, 2020

The effect of autologous adipose derived mesenchymal stem cell therapy on juvenile osteochondritis dissecans of the patella: a case study
Alessandro Russo, Vito Coco, Stefano Zaffagnini, Journal of Surgical Case Reports, 2020

Patient-Centered Outcomes of Microfragmented Adipose Tissue Treatments of Knee Osteoarthritis: An Observational, Intention-to-Treat Study at Twelve Months
Nima Heidari, Ali Noorani, Mark Slevin, Angela Cullen, Laura Stark, Stefano Olgiati, Alberto Zerbi, Adrian Wilson, BioMed Research International, 2020

Early results of intra-articular micro-fragmented lipoaspirate treatment in patients with late stages knee osteoarthritis: a prospective study
Damir Hudetz, Igor Borić, Eduard Rod, Željko Jeleč, Barbara Kunovac, Ozren Polašek, Trpimir Vrdoljak, Mihovil Plečko, Andrea Skelin, Denis Polančec, Lucija Zenić, Dragan Primorac, Croatian Medical Journal, 2019

Functional Outcomes Following Microfragmented Adipose Tissue Versus Bone Marrow Aspirate Concentrate Injections for Symptomatic Knee Osteoarthritis
Kenneth Mautner, Robert Bowers, Kirk Easley, Zachary Fausel, Ryan Robinson, Stem Cells Translational Medicine, 2019
Microfragmented adipose injections in the treatment of knee osteoarthritis
Gerard A. Malanga, Sean Bemanian, Journal of Clinical Orthopaedics and Trauma, 2019

Minimally Manipulated Mesenchymal Stem Cells for the Treatment of Knee Osteoarthritis: A Systematic Review of Clinical Evidence
B. Di Matteo, F. Vandenbulcke, N. D. Vitale, F. Iacono, K. Ashmore, M. Marcacci, E. Kon, Stem Cells International, 2019
A 24-Month Follow-Up Study of the Effect of Intra-Articular Injection of Autologous Microfragmented Fat Tissue on Proteoglycan Synthesis in Patients with Knee Osteoarthritis
Igor Borić, Damir Hudetz, Eduard Rod, Željko Jeleč, Trpimir Vrdoljak, Andrea Skelin, Ozren Polašek, Mihovil Plečko, Irena Trbojević-Akmačić, Gordan Lauc, Dragan Primorac, Genes, 2019

Treatment of osteoarthritis with autologous and microfragmented adipose tissue
Kristoffer Weisskirchner Barfod, Lars Blønd, 2019

Micro-fragmented stromal-vascular fraction plus microfractures provides better clinical results than microfractures alone in symptomatic focal chondral lesions of the knee
Salvatore Bisicchia, Gabriele Bernardi, Susanna M. Pagnotta, Cosimo Tudisco, Knee Surgery, Sports Traumatology, Arthroscopy, 2019
Injective mesenchymal stem cell-based treatments for knee osteoarthritis: from mechanisms of action to current clinical evidences
Silvia Lopa, Alessandra Colombini, Matteo Moretti, Laura de Girolamo, Knee Surgery, Sports Traumatology, Arthroscopy, 2018

Preliminary results of autologous adipose-derived stem cells in early knee osteoarthritis: identification of a subpopulation with greater response
Alfredo Schiavone Panni, Michele Vasso, Adriano Braile, Giuseppe Toro, Annalisa De Cicco, Davide Viggiano, Federica Lepore, International Orthopaedics, 2018

Autologous micro-fragmented adipose tissue for the treatment of diffuse degenerative knee osteoarthritis: an update at 3 year follow-up
A. Russo, D. Screpis, S. L. Di Donato, S. Bonetti, G. Piovan, C. Zorzi, 2018

Safety and Efficacy of Percutaneous Injection of Lipogems Micro-Fractured Adipose Tissue for Osteoarthritic Knees
Jay Panchal, Gerard Malanga, Mitchell Sheinkop, American Journal of Orthopedics, 2018

Micro-fragmented adipose tissue injection associated with arthroscopic procedures in patients with symptomatic knee osteoarthritis
G. Cattaneo, A. De Caro, F. Napoli, D. Chiapale, P. Trada, A. Camera, BMC Musculoskeletal Disorders, 2018

Non-Responding Knee Pain with Osteoarthritis, Meniscus and Ligament Tears Treated with Ultrasound Guided Autologous, Micro-Fragmented and Minimally Manipulated Adipose Tissue
Richard David Striano, Valeria Battista, Norma Bilbool, Open Journal of Regenerative Medicine, 2017

Autologous and micro-fragmented adipose tissue for the treatment of diffuse degenerative knee osteoarthritis
A. Russo, V. Condello, V. Madonna, M. Guerriero, C. Zorzi, 2017

The Effect of Intra-articular Injection of Autologous Microfragmented Fat Tissue on Proteoglycan Synthesis in Patients with Knee Osteoarthritis
Damir Hudetz, Igor Borić, Eduard Rod, Željko Jeleč, Andrej Radić, Trpimir Vrdoljak, Andrea Skelin, Gordan Lauc, Irena Trbojević-Akmačić, Mihovil Plečko, Ozren Polašek, Dragan Primorac, Genes, 2017

Injection of autologous micro-fragmented adipose tissue for the treatment of post-traumatic degenerative lesion of knee cartilage: a case report
M. Franceschini, C. Castellaneta, G. Mineo, 2016

Non-Responsive Knee Pain with Osteoarthritis and Concurrent Meniscal Disease Treated With Autologous Micro-Fragmented Adipose Tissue Under Continuous Ultrasound Guidance
R.D. Striano, H. Chen, N. Bilbool, K. Azatullah, J. Hilado, K. Horan, Regenerative Medicine, 2015