156 publications

Comparison of short-term clinical outcomes of intra-articular injection of micro-fragmented adipose tissue and stromal vascular fraction cells for knee osteoarthritis treatment: A retrospective single-center cohort study
Takuma Maeda, Satoshi Sobajima, Tomoyuki Matsumoto, Masanori Tsubosaka, Takehiko Matsushita, Hideki Iwaguro, Ryosuke Kuroda, Regenerative Therapy, 2025

Secretome from Human Micro-Fragmented Adipose Tissue Affects In Vitro Monocytes/Macrophages Inflammatory Activity by ICAM-1 Expression
Valentina Coccè, Eleonora Martegani, Francesca Paino, Luisa Doneda, Giulio Alessandri, Barbara Manfredi, Aldo Giannì, Emilio Ciusani, Elena Colombani, Carlo Tremolada, Augusto Pessina, Mediators of Inflammation, 2024
Technical considerations for isolated limb perfusion: A consensus paper
Andrew J. Hayes, David J. Coker, Lukas Been, Veerle WSM. Boecstaens, Sylvie Bonvalot, Franco De Cian, Luis de la Cruz-Merino, Carlos Duarte, Alexander Eggermont, Victor Farricha, Marco Fiore, Dirk Grünhagen, Robert Grützmann, Charles Honoré, Jens Jakob, Marko Hocevar, Winan van Houdt, Joseph Klauzner, Christoph Kettelhack, Angela Märten, Hector Martinez-Said, Maurice Matter, Audrey Michot, Maya Niethard, Elisabetta Pennacchioli, Lars E. Podleska, Gregorio Rabago, Marco Rastrelli, Sophie Reijers, Matilde Ribeiro, Matthias Schwarzbach, Hayden A. Snow, Miroslav Spacek, Stephan Stoldt, Alessandro Testori, Odysseas Zoras, Roger Olofsson Bagge, European Journal of Surgical Oncology, 2024

Tissue engineering and future directions in regenerative medicine for knee cartilage repair: a comprehensive review
Dragan Primorac, Vilim Molnar, Dimitrios Tsoukas, Ilona Uzieliene, Carlo Tremolada, Petar Brlek, Emil Klarić, Dinko Vidović, Marija Zekušić, Jolita Pachaleva, Eiva Bernotiene, Adrian Wilson, Ali Mobasheri, Croatian Medical Journal, 2024

Infiltration of micro-fragmented adipose tissue under local anesthesia for knee osteoarthritis treatment is a safe procedure: A case series
Bruno Butturi Varone, Daniel Peixoto Leal, Daniel Duarte Perini, Vitor Penteado Figueiredo Pagotto, Riccardo Gomes Gobbi, Marco Kawamura Demange, Clinics, 2024

Microfragmented Adipose Tissue Associated With Collagen Membrane in the Treatment of Focal Knee Cartilage Defect
Daniel Peixoto Leal, Henrique Fuller, Bruno Butturi Varone, Andre Giardino Moreira da Silva, Marco Kawamura Demange, Riccardo Gomes Gobbi, Luis Eduardo Passareli Tirico, Arthroscopy Techniques, 2024

Regeneration of full thickness common extensor tendon tear after percutaneous microfragmented adipose graft
Imran J Siddiqui, Alyssa Ritner, Sanjay Mahadevan, Kyle J Dineen, Roosevelt Desronvilles, Regenerative Medicine, 2024
Autologous Microfragmented Adipose Tissue Injection in Refractory Complex Crohn's Perianal Fistulas: Long-Term Results at 6.7 Years Mean Follow-up
Silvio Laureti, Alberta Cappelli, Claudio Isopi, Lorenzo Gentilini, Riccardo Villani, Gioia Sorbi, Fernando Rizzello, Alessandra Menon, Nikolas Konstantine Dussias, Paolo Gionchetti, Gilberto Poggioli, Inflammatory Bowel Diseases, 2024

LIPO-AMIC Technique Description: Autologous Matrix Induced Chondrogenesis With Microfragmented Adipose Tissue Graft
Pedro Debieux, Gustavo Guadalupe Ribeiro, Keng Lin Wong, Moisés Cohen, Camila Cohen Kaleka, Arthroscopy Techniques, 2024

Autologous micro-fragmented adipose tissue injection provides significant and prolonged clinical improvement in patients with knee osteoarthritis: a case-series study
Arcangelo Russo, Gabriele Cortina, Vincenzo Condello, Marco Collarile, Roberto Orlandi, Riccardo Gianoli, Emanuele Giuliani, Vincenzo Madonna, 2023

Acne Scars: Multimodal Treatment with Surgical Subdermal Plane Dissection, Microfragmented Adipose Tissue Infiltration and Deep CO2 Laser Resurfacing. Our Clinical Experience in 15 Clinical Cases Treated
Alice Miegge, Laura Loda, Carlo Tremolada, Modern Research in Plastic and Reconstructive Surgery, 2023

Micro fractured Adipose Tissue Graft (Lipogems), Regenerative Surgery and Potential Outcomes for Infectious and Cancer Diseases
Carlo Tremolada, Pierre Rocheteau, Carmelo Bisognano, Ofer Zeira, Giulio Alessandri, Journal of Stem Cell Research, 2023

Successful isolation of viable stem cells from cryopreserved microfragmented human adipose tissue from patients with knee osteoarthritis - a comparative study of isolation by tissue explant culture and enzymatic digestion
Jasmin Bagge, Per Hölmich, Freja Aabæk Hammer, Jan O. Nehlin, Kilian Vomstein, Lars Blønd, Lisbet Rosenkrantz Hölmich, Kristoffer Weisskirchner Barfod, Journal of Experimental Orthopaedics, 2023

Novel Approach in Rectovaginal Fistula Treatment: Combination of Modified Martius Flap and Autologous Micro-Fragmented Adipose Tissue
Ana Dimova, Ivana Erceg Ivkošić, Petar Brlek, Stefan Dimov, Tomislav Pavlović, Tomislav Bokun, Dragan Primorac, Biomedicines, 2023

Effects of Autologous Microfragmented Adipose Tissue on Bone Healing: A Blinded, Prospective, Randomised Canine Clinical Trial
Luca Pennasilico, Caterina Di Bella, Sara Sassaroli, Alberto Salvaggio, Francesco Roggiolani, Angela Palumbo Piccionello, MDPI, 2023
Role of Autologous Fat Grafting in the Conservative Treatment of Fecal Incontinence in Children
Valentina Pinto, Marco Pignatti, Giovanni Parente, Neil Di Salvo, Luca Contu, Mario Lima, Journal of Clinical Medicine, 2023

Micro-Fragmented Adipose Tissue as a Natural Scaffold for Targeted Drug Delivery in Brain Cancer
Alex Salagean, Adela Nechifor-Boila, Nosherwan Bajwa, Ylenia Pastorello, Mark Slevin, International Journal of Molecular Sciences, 2023

Microfragmented adipose tissue in the treatment of a full-thickness supraspinatus tear: a case report
John L Ferrell, Alanna Dodson, Joshua Martin, Future Medicine, 2023

Novel Approach in Rectovaginal Fistula Treatment: Combination of Modified Martius Flap and Autologous Micro-Fragmented Adipose Tissue
Ana Dimova, Ivana Erceg Ivkošić, Petar Brlek, Stefan Dimov, Tomislav Pavlović, Tomislav Bokun, Dragan Primorac, Biomedicines, 2023

Microfractured Adipose Tissue Graft (Lipogems) and Regenerative Surgery
Carlo Tremolada, Journal of Orthopedic Research and Therapy, 2022

Autologous micro-fragmented adipose tissue associated with arthroscopy in moderate-severe knee osteoarthritis: outcome at two year follow-up
Andrea Giorgini, Filippo Selleri, Francesco Zambianchi, Giacomo Cataldo, Elena Francioni, Fabio Catani, BMC Musculoskeletal Disorders, 2022

Soft Tissue Reconstruction Strategy of Spontaneous Calcaneal Fracture in a Patient with Diabetic Penetrating Foot Ulcer
Alessandro Torre, Laura De Pellegrin, Marta Teglas, Marco De Monti, American Journal of Surgery and Clinical Case Reports, 2022

Microfractured Adipose Tissue Graft for the Advanced Treatment of Non-Healing Cutaneous Fistulas
Marco De Monti, Laura De Pellegrin, Ken Galetti, Science Repository, 2022

Stemming the Leak: A Novel Treatment for Gastro-Bronchial Fistula
F. M. Mongardini, C. Cacciatore, A. Catauro, F. Maglione, F. Picardi, A. Lauro, C. Gambardella, A. Allaria, L. Docimo, Digestive Diseases and Sciences, 2022

Intraarticular injection of microfragmented adipose tissue plus arthroscopy in isolated primary patellofemoral osteoarthritis is clinically effective and not affected by age, BMI, or stage of osteoarthritis
Michele Vasso, Katia Corona, Luigi Capasso, Giuseppe Toro, Alfredo Schiavone Panni, Journal of Orthopaedics and Traumatology, 2022

Regenerative and Endoscopic Treatment of Complex Recurrent Fistula in Ano: When Technology Supports Clinical Treatment
Marco De Monti, Giovanni Cestaro, Luca Regusci, Fabrizio Fasolini, Ken Galetti, International Journal of Regenerative Medicine, 2022

Long-term in vivo survival of 3D-bioprinted human lipoaspirate-derived adipose tissue: proteomic signature and cellular content
Karin Säljö, Peter Apelgren, Linnea Stridh Orrhult, Susann Li, Matteo Amoroso, Paul Gatenholm, Lars Kölby, Adipocyte, 2022

Lipoaspirate Shows In Vitro Potential for Wound Healing
Chiara Ceresa, Alessia Borrone, Letizia Fracchia, Maurizio Rinaldi, Alice Marchetti, Carlo Tremolada, Michela Bosetti, Pharmaceutics, 2022

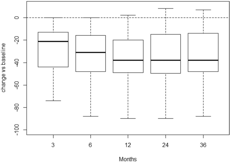
Autologous Microfragmented Adipose Tissue for the Treatment of Knee Osteoarthritis: Real-World Data at Two Years Follow-Up
Daniele Screpis, Simone Natali, Luca Farinelli, Gianluca Piovan, Venanzio Iacono, Laura de Girolamo, Marco Viganò, Claudio Zorzi, Journal of Clinical Medicine, 2022

Arthroscopic Rotator Cuff Repair Augmentation With Autologous Microfragmented Lipoaspirate Tissue Is Safe and Effectively Improves Short-term Clinical and Functional Results
Pietro S. Randelli, Davide Cucchi, Chiara Fossati, Linda Boerci, Elisabetta Nocerino, Federico Ambrogi, Alessandra Menon, The American Journal of Sports Medicine, 2022

CD146+ Pericytes Subset Isolated from Human Micro-Fragmented Fat Tissue Display a Strong Interaction with Endothelial Cells: A Potential Cell Target for Therapeutic Angiogenesis
Ekta Manocha, Alessandra Consonni, Fulvio Baggi, Emilio Ciusani, Valentina Cocce, Francesca Paino, Carlo Tremolada, Arnaldo Caruso, Giulio Alessandri, International Journal of Molecular Sciences, 2022

Lipoaspirate Shows In Vitro Potential for Wound Healing
Chiara Ceresa, Alessia Borrone, Letizia Fracchia, Maurizio Rinaldi, Alice Marchetti, Carlo Tremolada, Michela Bosetti, Pharmaceutics, 2022

Mesenchymal Stem Cell Mechanisms of Action and Clinical Effects in Osteoarthritis: A Narrative Review
Vilim Molnar, Eduard Pavelić, Kristijan Vrdoljak, Martin Čemerin, Emil Klarić, Vid Matišić, Roko Bjelica, Petar Brlek, Ivana Kovačić, Carlo Tremolada, Dragan Primorac, Genes, 2022
Is intra-articular injection of autologous micro-fragmented adipose tissue effective in hip osteoarthritis? A three year follow-up
Simone Natali, Daniele Screpis, Michele Romeo, Stefano Magnanelli, Giuseppe Rovere, Amarossi Andrea, Lawrence Camarda, Claudio Zorzi, 2022

Echo-Assisted Intersphincteric Autologous Microfragmented Adipose Tissue Injection to Control Fecal Incontinence in Children
Giovanni Parente, Valentina Pinto, Marco Pignatti, Neil Di Salvo, Simone D'Antonio, Michele Libri, Mario Lima, 2022

Autologous micro-fragmented adipose tissue associated with arthroscopy in moderate-severe knee osteoarthritis: outcome at two year follow-up
Andrea Giorgini, Filippo Selleri, Francesco Zambianchi, Giacomo Cataldo, Elena Francioni, Fabio Catani, BMC Musculoskeletal Disorders, 2022

Characterization of Microfragmented Adipose Tissue Architecture, Mesenchymal Stromal Cell Content and Release of Paracrine Mediators
Enrico Ragni, Marco Viganò, Enrica Torretta, Carlotta Perucca Orfei, Alessandra Colombini, Carlo Tremolada, Cecilia Gelfi, Laura de Girolamo, Journal of Clinical Medicine, 2022

Case Report: Microfragmented Adipose Tissue Drug Delivery in Canine Mesothelioma: A Case Report on Safety, Feasibility, and Clinical Findings
Offer Zeira, Erica Ghezzi, Letizia Pettinari, Valentina Re, Davide M. Lupi, Silvia L. Benali, Simone Borgonovo, Giulio Alessandri, Francesco Petrella, Rita Paroni, Michele Dei Cas, Carlo Tremolada, Valentina Coccè, Augusto Pessina, Frontiers in Veterinary Science, 2021
Autologous Micro-fragmented Adipose Tissue in Patients With Knee Osteoarthritis: A Systematic Review and Meta-analysis
Jun Wang, Hua-Juan Guo, Cong-Cong Wang, Xian-Wei Zeng, Jun Wu, Xiao Wang, Wei Li, Research Square, 2021

The Effect of Autologous Adipose Derived Mesenchymal Stem Cell Therapy in Chronic Patellar Tendinitis: A Case Study
Alessandro Russo, Vito Coco, Stefano Zaffagnini, Annals of Case Reports & Reviews, 2021
Adipose-Derived Stem Cells for Hip Osteoarthritis: A Promising Case Series
Vito Coco, Filippo Boriani, Stefano Zaffagnini, Alessandro Russo, Annals of Case Reports & Reviews, 2021
Adipose-Derived Stem/Stromal Cells, Stromal Vascular Fraction, and Microfragmented Adipose Tissue
Enrico Ragni, Marco Viganò, Paola De Luca, Edoardo Pedrini, Laura de Girolamo, 2021

A Prospective Study Comparing Leukocyte-Poor Platelet-Rich Plasma Combined with Hyaluronic Acid and Autologous Microfragmented Adipose Tissue in Patients with Early Knee Osteoarthritis
Ignacio Dallo, Dawid Szwedowski, Ali Mobasheri, Eleonora Irlandini, Alberto Gobbi, Stem Cells and Development, 2021

Autologous Micro-Fragmented Adipose Tissue (MFAT) to Treat Symptomatic Knee Osteoarthritis: Early Outcomes of a Consecutive Case Series
Wouter Van Genechten, Kristien Vuylsteke, Pedro Rojas Martinez, Linus Swinnen, Kristof Sas, Peter Verdonk, Journal of Clinical Medicine, 2021

The use of intra-articular injection of autologous micro-fragmented adipose tissue as pain treatment for ankle osteoarthritis: a prospective not randomized clinical study
Simone Natali, Daniele Screpis, Luca Farinelli, Venanzio Iacono, Vittorio Vacca, Antonio Gigante, Claudio Zorzi, International Orthopaedics, 2021

A pilot study to evaluate micro-fragmented adipose tissue injection under ultrasound guidance for the treatment of refractory rotator cuff disease in wheelchair users with spinal cord injury
Nathan Hogaboom, Gerard Malanga, Chris Cherian, Trevor Dyson-Hudson, Unknown, 2021

Microfragmented Adipose Tissue Injection (MFAT) May Be a Solution to the Rationing of Total Knee Replacement: A Prospective, Gender-Bias Mitigated, Reproducible Analysis at Two Years
Nima Heidari, Tiffanie-Marie Borg, Stefano Olgiati, Mark Slevin, Alessandro Danovi, Brady Fish, Adrian Wilson, Ali Noorani, BioMed Research International, 2021

Health-related quality of life outcomes and hospitalization length of stay after micro-fragmented autologous adipose tissue injection in minor amputations for diabetic foot ulceration (MiFrAADiF Trial): results from a randomized controlled single-center clinical trial
Stefano Gennai, Nicola Leone, Tea Covic, Mattia Migliari, Roberto Lonardi, Roberto Silingardi, International Angiology, 2021

Temporomandibular Joint Arthrocentesis and Microfragmented Adipose Tissue Injection for the Treatment of Internal Derangement and Osteoarthritis: A Randomized Clinical Trial
Salvatore Sembronio, Alessandro Tel, Carlo Tremolada, Andrea Lazzarotto, Miriam Isola, Massimo Robiony, Journal of Oral and Maxillofacial Surgery, 2021
Comprehensive Review of Knee Osteoarthritis Pharmacological Treatment and the Latest Professional Societies' Guidelines
Dragan Primorac, Vilim Molnar, Vid Matišić, Damir Hudetz, Željko Jeleč, Eduard Rod, Fabijan Čukelj, Dinko Vidović, Trpimir Vrdoljak, Borut Dobričić, Darko Antičević, Martina Smolić, Mladen Miškulin, Damir Čačić, Igor Borić, Pharmaceuticals, 2021

Two-year clinical outcomes of autologous microfragmented adipose tissue in elderly patients with knee osteoarthritis: a multi-centric, international study
Alberto Gobbi, Ignacio Dallo, Christopher Rogers, Richard D. Striano, K. Mautner, Robert Bowers, Michael Rozak, Norma Bilbool, William D. Murrell, International Orthopaedics, 2021

Chronic prosthesis-related residual limb ulcer treated with autologous micro-fragmented adipose tissue
Coperland, Regenerative Therapy, 2021

Gender-Specific Response in Pain and Function to Biologic Treatment of Knee Osteoarthritis: A Gender-Bias-Mitigated, Observational, Intention-to-Treat Study at Two Years
Tiffanie-Marie Borg, Nima Heidari, Ali Noorani, Mark Slevin, Angela Cullen, Stefano Olgiati, Alberto Zerbi, Alessandro Danovi, Adrian Wilson, unknown, 2021

Comparison of Clinically Relevant Adipose Preparations on Articular Chondrocyte Phenotype in a Novel In Vitro Co-Culture Model
Lauren Kokai, Joseph Chen, Dong Wang, Sheri Wang, Francesco M. Egro, Benjamin Schilling, Hengyun Sun, Asim Ejaz, J. Peter Rubin, Jeffrey A. Gusenoff, Nam Vo, Kentaro Onishi, Gwendolyn Sowa, Stem Cells and Development, 2021
Adipose-Derived Stem/Stromal Cells, Stromal Vascular Fraction, and Microfragmented Adipose Tissue
Enrico Ragni, Marco Viganò, Paola De Luca, Edoardo Pedrini, Laura de Girolamo, 2021

Micro-fragmentation is a valid alternative to cell expansion and enzymatic digestion of adipose tissue for the treatment of knee osteoarthritis: a comparative preclinical study
Giuseppe Filardo, Matilde Tschon, Francesco Perdisa, Silvia Brogini, Carola Cavallo, Giovanna Desando, Gianluca Giavaresi, Brunella Grigolo, Lucia Martini, Nicolò Nicoli Aldini, Alice Roffi, Milena Fini, Elizaveta Kon, Knee Surgery, Sports Traumatology, Arthroscopy, 2021

Microfragmented adipose tissue is associated with improved ex vivo performance linked to HOXB7 and b-FGF expression
Giulia Casari, Elisa Resca, Andrea Giorgini, Olivia Candini, Tiziana Petrachi, Maria Serena Piccinno, Elisabetta Manuela Foppiani, Lucrezia Pacchioni, Marta Starnoni, Massimo Pinelli, Giorgio De Santis, Filippo Selleri, Fabio Catani, Massimo Dominici, Elena Veronesi, 2021

Endoscopic repair of a vesicouterine fistula with the injection of microfragmented autologous adipose tissue (Lipogems®)
Matteo Giulio Spinelli, Vito Lorusso, Franco Palmisano, Michele Morelli, Paolo Guido Dell'Orto, Carlo Tremolada, Emanuele Montanari, Turkish Journal of Urology, 2020
Minimally manipulated adipose derived mesenchymal stromal cells and osteoarthritis: A narrative review
Akkawi Ibrahim, Draghetti Maurizio, Zmerly Hassan, Acta Biomedica, 2020

Outcomes after Micronized Fat Adipose Transfer for Glenohumeral Joint Arthritis and Rotator Cuff Pathology: a Case Series of 18 Shoulders
D.M. Robinson, C. Eng, M. Mitchkash, A.S. Tenforde, J. Borg-Stein, Muscles, Ligaments and Tendons Journal, 2020

Open-wedge high tibial osteotomy associated with Lipogems® intra-articular injection for the treatment of varus knee osteoarthritis - retrospective study
Stefano Magnanelli, Daniele Screpis, Paolo Di Benedetto, Simone Natali, Araldo Causero, Claudio Zorzi, Acta Biomedica, 2020

Clinical evaluation of micro-fragmented adipose tissue as a treatment option for patients with meniscus tears with osteoarthritis: a prospective pilot study
Gerard A. Malanga, Paul S. Chirichella, Nathan S. Hogaboom, Teresa Capella, 2020

Chemical Profile and Clinical Efficacy of Adipose-Derived Mesenchymal Stromal Cell Therapy in the Treatment of Knee Osteoarthritis
Jack K. Haberl, Nathan S. Hogaboom, Gerard A. Malanga, Biologic Orthopedic Journal, 2020
Safety and Feasibility of Autologous Micro-Fragmented Adipose Tissue Injections for the Treatment of Vaginal Atrophy, Vulvovaginal Dystrophy, and Stress Urinary Incontinence: An Observational Case Series
Laura Stark, Mira Razzaque, Jeannie Yoon, Mehrnoosh Aref-Adib, Miles Banwell, Shohreh Beski, EMJ Urol, 2020

Autologous microfragmented adipose tissue reduces inflammatory and catabolic markers in supraspinatus tendon cells derived from patients affected by rotator cuff tears
Marco Viganò, Gaia Lugano, Carlotta Perucca Orfei, Alessandra Menon, Enrico Ragni, Alessandra Colombini, Paola De Luca, Pietro Randelli, Laura de Girolamo, International Orthopaedics, 2020

Clinical use of autologous micro-fragmented fat progressively restores pain and function in shoulder osteoarthritis
Heather Vinet-Jones, Kevin F Darr, 2020

The effect of autologous adipose derived mesenchymal stem cell therapy on juvenile osteochondritis dissecans of the patella: a case study
Alessandro Russo, Vito Coco, Stefano Zaffagnini, Journal of Surgical Case Reports, 2020

Patient-Centered Outcomes of Microfragmented Adipose Tissue Treatments of Knee Osteoarthritis: An Observational, Intention-to-Treat Study at Twelve Months
Nima Heidari, Ali Noorani, Mark Slevin, Angela Cullen, Laura Stark, Stefano Olgiati, Alberto Zerbi, Adrian Wilson, BioMed Research International, 2020
L'uso di cellule staminali di derivazione adiposa in ortopedia. Indicazioni e limiti normativi
Riccardo Ferracini, Ilaria Roato, Luca Maccari, Emilia Tiraboschi, Luca Farinelli, Antonio Gigante, Giornale Italiano di Ortopedia e Traumatologia, 2020

A new treatment of genito-urinary post-menopausal atrophy with autologous micro-fragmented fat tissue: a thirty-six months follow up case series
G. Casarotti, C. Tremolada, 2020

Micro-fragmented Adipose Tissue Transplantation (MATT) for the treatment of acetabular delamination. A two years follow up comparison study with microfractures
Alessandro Ivone, Alberto Fioruzzi, Eugenio Jannelli, Alberto Castelli, Matteo Ghiara, Enrico Ferranti Calderoni, Andrea Fontana, Acta Biomedica, 2020

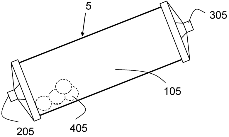
Method and Device for Preparing Non-Embryonic Stem Cells
Carlo Tremolada, Carlo Ventura, Milford Graves, United States Patent, 2020

Mesenchymal Stromal Cell Therapy in the Management of Perianal Fistulas in Crohn's Disease: An Up-To-Date Review
Gaetano Gallo, Vincenzo Tiesi, Serena Fulginiti, Gilda De Paola, Giuseppina Vescio, Giuseppe Sammarco, Medicina, 2020

Early results of intra-articular micro-fragmented lipoaspirate treatment in patients with late stages knee osteoarthritis: a prospective study
Damir Hudetz, Igor Borić, Eduard Rod, Željko Jeleč, Barbara Kunovac, Ozren Polašek, Trpimir Vrdoljak, Mihovil Plečko, Andrea Skelin, Denis Polančec, Lucija Zenić, Dragan Primorac, Croatian Medical Journal, 2019
Autologous, micro-fragmented adipose tissue as a treatment for chronic shoulder pain in a wheelchair using individual with spinal cord injury: a case report
Chris Cherian, Gerard A. Malanga, Nathan Hogaboom, Michael A. Pollack, Trevor A. Dyson-Hudson, Spinal Cord Series and Cases, 2019

Autologous Micro-Fragmented Adipose Tissue as Stem Cell-Based Natural Scaffold for Cartilage Defect Repair
Tengjing Xu, Xinning Yu, Quanming Yang, Xiaonan Liu, Jinghua Fang, Xuesong Dai, Cell Transplantation, 2019

Functional Outcomes Following Microfragmented Adipose Tissue Versus Bone Marrow Aspirate Concentrate Injections for Symptomatic Knee Osteoarthritis
Kenneth Mautner, Robert Bowers, Kirk Easley, Zachary Fausel, Ryan Robinson, Stem Cells Translational Medicine, 2019
Microfragmented adipose injections in the treatment of knee osteoarthritis
Gerard A. Malanga, Sean Bemanian, Journal of Clinical Orthopaedics and Trauma, 2019

Minimally Manipulated Mesenchymal Stem Cells for the Treatment of Knee Osteoarthritis: A Systematic Review of Clinical Evidence
B. Di Matteo, F. Vandenbulcke, N. D. Vitale, F. Iacono, K. Ashmore, M. Marcacci, E. Kon, Stem Cells International, 2019

Il trattamento delle condropatie degenerative con tessuto adiposo autologo microframmentato
Arcangelo Russo, Francesca De Caro, Vincenzo Condello, Marco Collarile, Vincenzo Madonna, Lo Scalpello, 2019
A 24-Month Follow-Up Study of the Effect of Intra-Articular Injection of Autologous Microfragmented Fat Tissue on Proteoglycan Synthesis in Patients with Knee Osteoarthritis
Igor Borić, Damir Hudetz, Eduard Rod, Željko Jeleč, Trpimir Vrdoljak, Andrea Skelin, Ozren Polašek, Mihovil Plečko, Irena Trbojević-Akmačić, Gordan Lauc, Dragan Primorac, Genes, 2019

Treatment of osteoarthritis with autologous and microfragmented adipose tissue
Kristoffer Weisskirchner Barfod, Lars Blønd, 2019

Refractory Complex Crohn's Perianal Fistulas: A Role for Autologous Microfragmented Adipose Tissue Injection
Silvio Laureti, Paolo Gionchetti, Alberta Cappelli, Laura Vittori, Federico Contedini, Fernando Rizzello, Rita Golfieri, Massimo Campieri, Gilberto Poggioli, Inflammatory Bowel Diseases, 2019

Rectal advancement flap plus adipose lipofilling (RAFAL) for the treatment of rectourethral fistulas after radical prostatectomy
M. Zuin, M. Ruperto, M. Balduino, A. Amodeo, L. De Zorzi, B. Roche, M. Pavanello, C. Sernagiotto, Techniques in Coloproctology, 2019

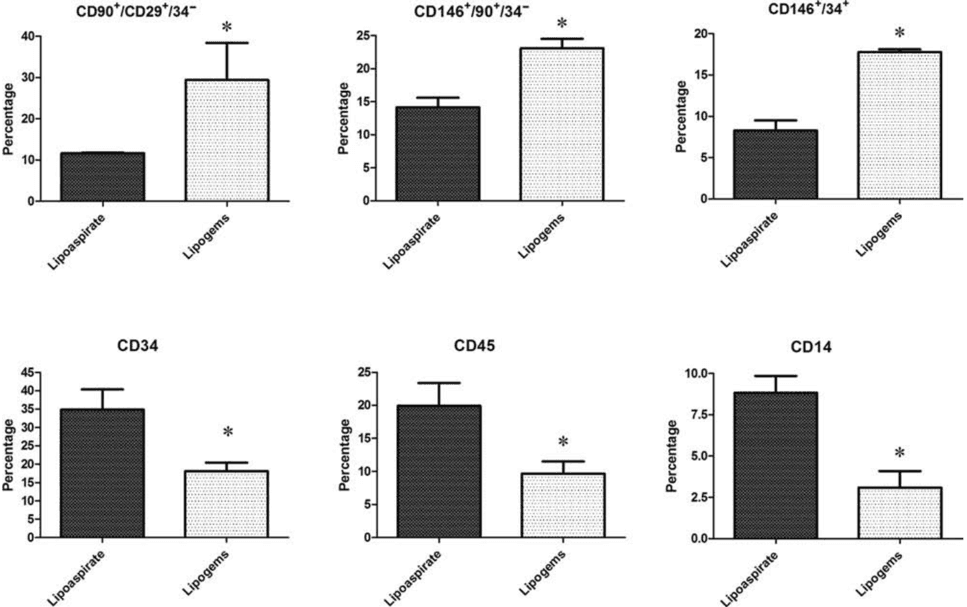
Immunophenotyping of a Stromal Vascular Fraction from Microfragmented Lipoaspirate Used in Osteoarthritis Cartilage Treatment and Its Lipoaspirate Counterpart
Denis Polancec, Lucija Zenic, Damir Hudetz, Igor Boric, Zeljko Jelec, Eduard Rod, Trpimir Vrdoljak, Andrea Skelin, Mihovil Plecko, Mirjana Turkalj, Boro Nogalo, Dragan Primorac, Genes, 2019

Mesenchymal Stem Cells injection in hip osteoarthritis: preliminary results
Carlo Dall'Oca, Stefano Breda, Nicholas Elena, Roberto Valentini, Elena Manuela Samaila, Bruno Magnan, Acta Biomedica, 2019

Autologous micro-fragmented adipose tissue for the treatment of diabetic foot minor amputations: a randomized controlled single-center clinical trial (MiFrAADiF)
Roberto Lonardi, Nicola Leone, Stefano Gennai, Giulia Trevisi Borsari, Tea Covic, Roberto Silingardi, Journal of Clinical Medicine, 2019

Micro-fragmented stromal-vascular fraction plus microfractures provides better clinical results than microfractures alone in symptomatic focal chondral lesions of the knee
Salvatore Bisicchia, Gabriele Bernardi, Susanna M. Pagnotta, Cosimo Tudisco, Knee Surgery, Sports Traumatology, Arthroscopy, 2019

Long-Lasting Anti-Inflammatory Activity of Human Microfragmented Adipose Tissue
Sara Nava, Valeria Sordi, Luisa Pascucci, Carlo Tremolada, Emilio Ciusani, Offer Zeira, Moris Cadei, Gianni Soldati, Augusto Pessina, Eugenio Parati, Mark Slevin, Giulio Alessandri, Stem Cells International, 2019

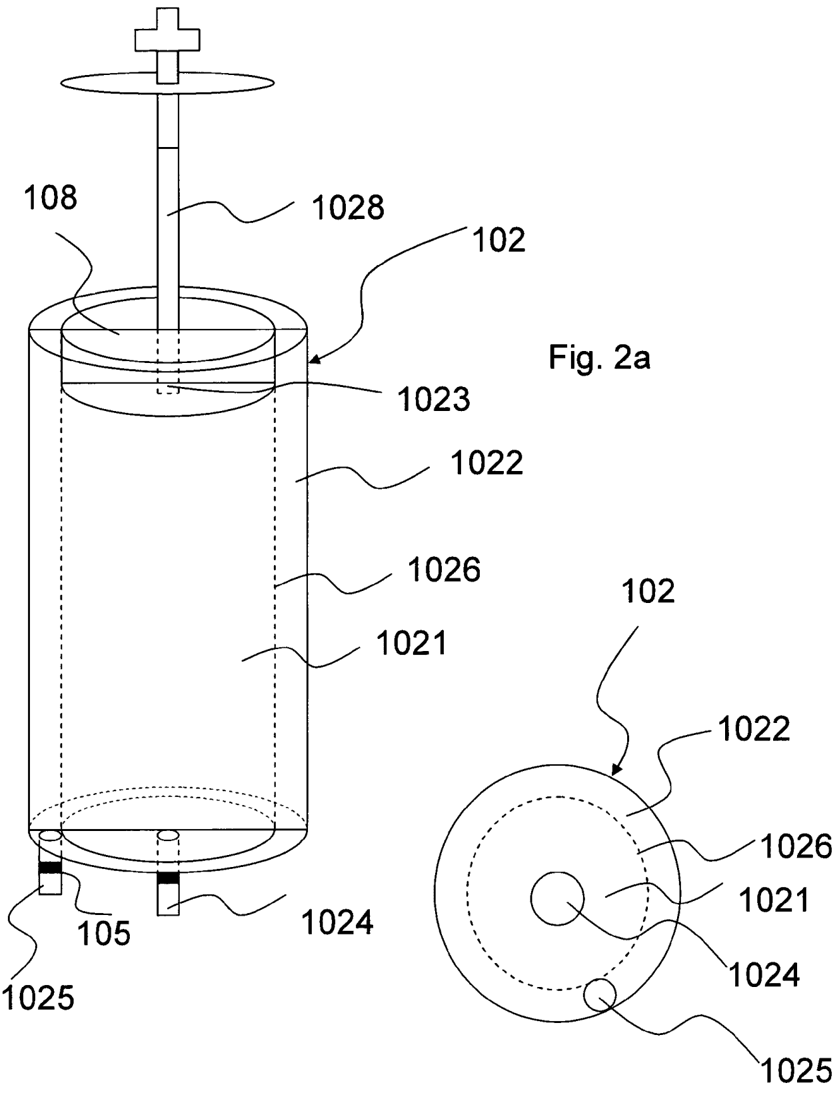
Device and Method for Preparing Adipose Tissue for Transplantation
Carlo Ferdinando Maria Tremolada, Antonio Bosetto, Paolo Pirazzoli, United States Patent, 2019

Microfragmented human fat tissue is a natural scaffold for drug delivery: Potential application in cancer chemotherapy
Giulio Alessandri, Valentina Coccè, Fabio Pastorino, Rita Paroni, Michele Dei Cas, Francesco Restelli, Bianca Pollo, Laura Gatti, Carlo Tremolada, Angiola Berenzi, Eugenio Parati, Anna Teresa Brini, Gianpietro Bondiolotti, Mirco Ponzoni, Augusto Pessina, Journal of Controlled Release, 2019

Method for Preparing Tissue, Particularly Adipose Tissue, for Transplantation from Lobular Fat Extracted by Liposuction
Carlo Tremolada, United States Patent Application Publication, 2019

Mesenchymal Stromal Cells and Micro Fragmented Adipose Tissue: New Horizons of Effectiveness of Lipogems
Carlo Tremolada, Massimo Allegri, Mark Slevin, Journal of Stem Cells Research, Development and Therapy, 2019
Rectal advancement flap plus adipose lipofilling (RAFAL) for the treatment of rectourethral fistulas after radical prostatectomy
M. Zuin, M. Ruperto, M. Balduino, A. Amodeo, L. De Zorzi, B. Roche, M. Pavanello, C. Sernagiotto, Techniques in Coloproctology, 2019
Injective mesenchymal stem cell-based treatments for knee osteoarthritis: from mechanisms of action to current clinical evidences
Silvia Lopa, Alessandra Colombini, Matteo Moretti, Laura de Girolamo, Knee Surgery, Sports Traumatology, Arthroscopy, 2018

Preliminary results of autologous adipose-derived stem cells in early knee osteoarthritis: identification of a subpopulation with greater response
Alfredo Schiavone Panni, Michele Vasso, Adriano Braile, Giuseppe Toro, Annalisa De Cicco, Davide Viggiano, Federica Lepore, International Orthopaedics, 2018

Autologous micro-fragmented adipose tissue for the treatment of diffuse degenerative knee osteoarthritis: an update at 3 year follow-up
A. Russo, D. Screpis, S. L. Di Donato, S. Bonetti, G. Piovan, C. Zorzi, 2018

Safety and Efficacy of Percutaneous Injection of Lipogems Micro-Fractured Adipose Tissue for Osteoarthritic Knees
Jay Panchal, Gerard Malanga, Mitchell Sheinkop, American Journal of Orthopedics, 2018

Higher Pericyte Content and Secretory Activity of Microfragmented Human Adipose Tissue Compared to Enzymatically Derived Stromal Vascular Fraction
Bianca Vezzani, Isaac Shaw, Hanna Lesme, Li Yong, Nusrat Khan, Carlo Tremolada, Bruno Péault, Stem Cells Translational Medicine, 2018

Menopause: new frontiers in the treatment of urogenital atrophy
G.A. Casarotti, P. Chiodera, C. Tremolada, 2018
Effect of microfragmented adipose tissue on osteoarthritic synovial macrophage factors
Francesca Paolella, Cristina Manferdini, Elena Gabusi, Laura Gambari, Giuseppe Filardo, Elizaveta Kon, Erminia Mariani, Gina Lisignoli, Journal of Cellular Physiology, 2018

Metabolomic changes in human adipose tissue derived products following non-enzymatic microfacturing
M. Garcia-Contreras, F. Messaggio, A. J. Mendez, C. Ricordi, 2018

Utilizzo di staminali da tessuto adiposo nelle lesioni cutanee croniche: esperienza clinica
Fabrizio Moffa, Alberico Balbiano da Colcavagno, Elia Ricci, Italian Journal of Wound Care, 2018

Refractory Shoulder Pain with Osteoarthritis, and Rotator Cuff Tear, Treated With Micro-Fragmented Adipose Tissue
Richard D Striano, Gerard A Malanga, Norma Bilbool, Khatira Azatullah, Journal of Orthopaedics Spine and Sports Medicine, 2018

Autologous Microfractured and Purified Adipose Tissue for Arthroscopic Management of Osteochondral Lesions of the Talus
Riccardo D'Ambrosi, Cristian Indino, Camilla Maccario, Luigi Manzi, Federico Giuseppe Usuelli, Journal of Visualized Experiments, 2018

Micro-fragmented adipose tissue injection associated with arthroscopic procedures in patients with symptomatic knee osteoarthritis
G. Cattaneo, A. De Caro, F. Napoli, D. Chiapale, P. Trada, A. Camera, BMC Musculoskeletal Disorders, 2018

Intra-Articular Administration of Autologous Micro-Fragmented Adipose Tissue in Dogs with Spontaneous Osteoarthritis: Safety, Feasibility, and Clinical Outcomes
Offer Zeira, Simone Scaccia, Letizia Pettinari, Erica Ghezzi, Nimrod Asiag, Laura Martinelli, Daniele Zahirpour, Maria P. Dumas, Martin Konar, Davide M. Lupi, Laurence Fiette, Luisa Pascucci, Leonardo Leonardi, Alistair Cliff, Giulio Alessandri, Augusto Pessina, Daniele Spaziante, Marina Aralla, Stem Cells Translational Medicine, 2018

Evolution of Full Facial Feminization Surgery: Creating the Gendered Face With an All-in-one Procedure
Mirco Raffaini, Raffaella Perello, Carlo Tremolada, Tommaso Agostini, Journal of Craniofacial Surgery, 2018

Micro-fragmented adipose tissue injection for the treatment of complex anal fistula: a pilot study accessing safety and feasibility
G. Naldini, A. Sturiale, B. Fabiani, I. Giani, C. Menconi, Techniques in Coloproctology, 2018

A Nonenzymatic and Automated Closed-Cycle Process for the Isolation of Mesenchymal Stromal Cells in Drug Delivery Applications
Valentina Coccè, Anna Brini, Aldo Bruno Giannì, Valeria Sordi, Angiola Berenzi, Giulio Alessandri, Carlo Tremolada, Silvia Versari, Antonio Bosetto, Augusto Pessina, Unknown, 2018

Micro-fragmented fat injection reduces sepsis-induced acute inflammatory response in a mouse model
A. Bouglé, P. Rocheteau, M. Hivelin, A. Haroche, D. Briand, C. Tremolada, J. Mantz, F. Chrétien, British Journal of Anaesthesia, 2018

Micro-fragmented adipose tissue injection for the treatment of complex anal fistula: a pilot study accessing safety and feasibility
G. Naldini, A. Sturiale, B. Fabiani, I. Giani, C. Menconi, Techniques in Coloproctology, 2018

Non-Responding Knee Pain with Osteoarthritis, Meniscus and Ligament Tears Treated with Ultrasound Guided Autologous, Micro-Fragmented and Minimally Manipulated Adipose Tissue
Richard David Striano, Valeria Battista, Norma Bilbool, Open Journal of Regenerative Medicine, 2017

Autologous and micro-fragmented adipose tissue for the treatment of diffuse degenerative knee osteoarthritis
A. Russo, V. Condello, V. Madonna, M. Guerriero, C. Zorzi, 2017

The Effect of Intra-articular Injection of Autologous Microfragmented Fat Tissue on Proteoglycan Synthesis in Patients with Knee Osteoarthritis
Damir Hudetz, Igor Borić, Eduard Rod, Željko Jeleč, Andrej Radić, Trpimir Vrdoljak, Andrea Skelin, Gordan Lauc, Irena Trbojević-Akmačić, Mihovil Plečko, Ozren Polašek, Dragan Primorac, Genes, 2017

Mesenchymal Stem Cells and Regenerative Medicine: How Lipogems Technology Make Them Easy, Safe and More Effective to Use
Carlo Tremolada, 2017

Injection of autologous micro-fragmented adipose tissue for the treatment of post-traumatic degenerative lesion of knee cartilage: a case report
M. Franceschini, C. Castellaneta, G. Mineo, 2016

Adipose Tissue and Mesenchymal Stem Cells: State of the Art and Lipogems® Technology Development
Carlo Tremolada, Valeria Colombo, Carlo Ventura, Current Stem Cell Reports, 2016

Lipogems Product Treatment Increases the Proliferation Rate of Human Tendon Stem Cells without Affecting Their Stemness and Differentiation Capability
Pietro Randelli, Alessandra Menon, Vincenza Ragone, Pasquale Creo, Sonia Bergante, Filippo Randelli, Laura De Girolamo, Umberto Alfieri Montrasio, Giuseppe Banfi, Paolo Cabitza, Guido Tettamanti, Luigi Anastasia, BioMed Research International, 2016

Angiogenic and anti-inflammatory properties of micro-fragmented fat tissue and its derived mesenchymal stromal cells
Valentina Ceserani, Anna Ferri, Angiola Berenzi, Anna Benetti, Emilio Ciusani, Luisa Pascucci, Cinzia Bazzucchi, Valentina Coccè, Arianna Bonomi, Augusto Pessina, Erica Ghezzi, Offer Zeira, Piero Ceccarelli, Silvia Versari, Carlo Tremolada, Giulio Alessandri, 2016

Human Lipoaspirate as Autologous Injectable Active Scaffold for One-Step Repair of Cartilage Defects
Michela Bosetti, Alessia Borrone, Antonia Follenzi, Fanuel Messaggio, Carlo Tremolada, Mario Cannas, Cell Transplantation, 2016

Autologous adipose tissue graft in the vulva in severe vulvar lichen sclerosus atrophicus: clinical case
Davide De Vita, Carmen Sciorio, Serena Spartano, SIGO National Congress, 2016

Low back pain treated with disc decompression and autologous microfragmented adipose tissue: a case report
P. Grossi, S. Giarratana, S. Cernei, S. Grossi, F.M. Doniselli, unknown, 2016
Microfractured and Purified Adipose Tissue (Lipogems™ system) Injections for Treatment of Atrophic Vaginitis
Jennifer Fantasia, Halland Chen, Janice A. Santos Cortes, Journal of Urology and Research, 2016

The Adipose Mesenchymal Stem Cell Secretome Inhibits Inflammatory Responses of Microglia: Evidence for an Involvement of Sphingosine-1-Phosphate Signalling
Giovanni Marfia, Stefania Elena Navone, Loubna Abdel Hadi, Moira Paroni, Valeria Berno, Matteo Beretta, Roberta Gualtierotti, Francesca Ingegnoli, Vincenzo Levi, Monica Miozzo, Jens Geginat, Lorenzo Fassina, Paolo Rampini, Carlo Tremolada, Laura Riboni, Rolando Campanella, 2016

Low back pain treated with disc decompression and autologous microfragmented adipose tissue: a case report
P. Grossi, S. Giarratana, S. Cernei, S. Grossi, F.M. Doniselli, 2016

Mesenchymal Stem Cells in Lipogems, a Reverse Story: from Clinical Practice to Basic Science
Carlo Tremolada, Camillo Ricordi, Arnold I. Caplan, Carlo Ventura, 2016

Microfractured Lipoaspirate May Help Oral Bone and Soft Tissue Regeneration: a Case Report
R. Benzi, G. Marfia, M. Boseglab, G. Beltrami, A.S. Magri, S. Versari, C. Tremolada, CellR4, 2015

Characteristics and Properties of Mesenchymal Stem Cells Derived From Microfragmented Adipose Tissue
Stephana Carelli, Fanuel Messaggio, Alessandra Canazza, Danuta Maria Hebda, Filippo Caremoli, Elisa Latorre, Maria Grazia Grimoldi, Mattia Colli, Gaetano Bulfamante, Carlo Tremolada, Anna Maria Di Giulio, Alfredo Gorio, Cell Transplantation, 2015

Non-Responsive Knee Pain with Osteoarthritis and Concurrent Meniscal Disease Treated With Autologous Micro-Fragmented Adipose Tissue Under Continuous Ultrasound Guidance
R.D. Striano, H. Chen, N. Bilbool, K. Azatullah, J. Hilado, K. Horan, Regenerative Medicine, 2015

Transnasal endoscopic microfractured fat injection in glottic insufficiency
A. M. Saibene, C. Pipolo, R. Lorusso, S. M. Portaleone, G. Felisati, B-ENT, 2015

Intersphincteric anal lipofilling with micro-fragmented fat tissue for the treatment of faecal incontinence: preliminary results of three patients
Giovanni Cestaro, Michele De Rosa, Salvatore Massa, Bruno Amato, Maurizio Gentile, Videosurgery and Other Miniinvasive Techniques, 2015

Recovery of Function in Anal Incontinence After MicroFragmented Fat Graft (Lipogems®) Injection: Two Years Follow Up of the First 5 Cases
A. Giori, C. Tremolada, R. Vailati, S.E. Navone, G. Marfia, A.I. Caplan, CellR4, 2015

Chemical Preconditioning Process for Cell Material to Obtain Chemical Epigenetic Reprogramming and Pluripotency Expression
Carlo Tremolada, Carlo Ventura, United States Patent Application Publication, 2015

Method and Device for Preparing Non-Embryonic Stem Cells
Carlo Tremolada, Carlo Ventura, Milford Graves, US Patent Application Publication, 2015
Mesenchymal stem cells: potential for therapy and treatment of chronic non-healing skin wounds
Giovanni Marfia, Stefania Elena Navone, Clara Di Vito, Nicola Ughi, Silvia Tabano, Monica Miozzo, Carlo Tremolada, Gianni Bolla, Chiara Crotti, Francesca Ingegnoli, Paolo Rampini, Laura Riboni, Roberta Gualtierotti, Rolando Campanella, Organogenesis, 2015

Device and a Method for Preparing a Tissue
Carlo Tremolada, United States Patent, 2015

Device and Method for Preparing Tissue, Particularly Adipose Tissue
Carlo Tremolada, United States Patent, 2015

Preparation and Method for Producing a Preparation Comprising Mesenchymal Stem Cells
Carlo Tremolada, U.S. Patent Application Publication, 2015

Transnasal endoscopic microfractured fat injection in glottic insufficiency
A. M. Saibene, C. Pipolo, R. Lorusso, S. M. Portaleone, G. Felisati, B-ENT, 2015

Recovery of Function in Anal Incontinence After Micro-Fragmented Fat Graft (Lipogems®) Injection: Two Years Follow Up of the First 5 Cases
A. Giori, C. Tremolada, R. Vailati, S.E. Navone, G. Marfia, A.I. Caplan, 2015

Intersphincteric anal lipofilling with micro-fragmented fat tissue for the treatment of faecal incontinence: preliminary results of three patients
Giovanni Cestaro, Michele De Rosa, Salvatore Massa, Bruno Amato, Maurizio Gentile, Videosurgery and Other Miniinvasive Techniques, 2015

Microfractured Lipoaspirate May Help Oral Bone and Soft Tissue Regeneration: a Case Report
R. Benzi, G. Marfia, M. Boseglab, G. Beltrami, A.S. Magri, S. Versari, C. Tremolada, CellR4, 2015

Differences in exosome content of human adipose tissue processed by non-enzymatic and enzymatic methods
M. García-Contreras, F. Messaggio, O. Jimenez, A. Mendez, 2014

Lipogems, a New Modality of Fat Tissue Handling to Enhance Tissue Repair in Chronic Hind Limb Ischemia
F. Bianchi, E. Olivi, M. Baldassarre, F.A. Giannone, M. Laggetta, S. Valente, C. Cavallini, R. Tassinari, S. Canaider, G. Pasquinelli, C. Tremolada, C. Ventura, 2014

Micro Fractured and Purified Adipose Tissue Graft (Lipogems®) Can Improve the Orthognathic Surgery Outcomes Both Aesthetically and in Postoperative Healing
M. Raffaini, C. Tremolada, CellR4, 2014
Adipose Mesenchymal Stem Cells and 'Regenerative Adipose Tissue Graft' (Lipogems™) for Musculoskeletal Regeneration
C. Tremolada, G. Beltrami, A. Magri, F. Bianchi, C. Ventura, C. Di Vito, R. Campanella, S.E. Navone, G. Marfia, A.I. Caplan, 2014

Gene Expression Profile Analysis of Human Mesenchymal Stem Cells from Herniated and Degenerated Intervertebral Discs Reveals Different Expression of Osteopontin
Giovanni Marfia, Stefania Elena Navone, Clara Di Vito, Silvia Tabano, Lorenzo Gianmattei, Andrea Di Cristofori, Roberta Gualtierotti, Monica Miozzo, Paolo Rampini, Manuela Caroli, Laura Riboni, Rolando Campanella, 2014

Radioelectric Asymmetric Conveyed Fields and Human Adipose-Derived Stem Cells Obtained With a Nonenzymatic Method and Device: A Novel Approach to Multipotency
Margherita Maioli, Salvatore Rinaldi, Sara Santaniello, Alessandro Castagna, Gianfranco Pigliaru, Alessandro Delitala, Francesca Bianchi, Carlo Tremolada, Vania Fontani, Carlo Ventura, Cell Transplantation, 2014

Micro Fractured and Purified Adipose Tissue Graft (Lipogems®) Can Improve the Orthognathic Surgery Outcomes Both Aesthetically and in Postoperative Healing
M. Raffaini, C. Tremolada, 2014

A New Nonenzymatic Method and Device to Obtain a Fat Tissue Derivative Highly Enriched in Pericyte-Like Elements by Mild Mechanical Forces From Human Lipoaspirates
Francesca Bianchi, Margherita Maioli, Erika Leonardi, Elena Olivi, Gianandrea Pasquinelli, Sabrina Valente, Armando J. Mendez, Camillo Ricordi, Mirco Raffaini, Carlo Tremolada, Carlo Ventura, Cell Transplantation, 2013
Radio Electric Asymmetric Conveyed Fields and Human Adipose-Derived Stem Cells Obtained with a Non-Enzymatic Method and Device
Margherita Maioli, Salvatore Rinaldi, Sara Santaniello, Alessandro Castagna, Gianfranco Pigliaru, Alessandro Delitala, Francesca Bianchi, Carlo Tremolada, Vania Fontani, Carlo Ventura, Cell Transplantation, 2013
Effects of immunosuppression on proliferation in transplanted islets
Christian Krautz, Steffen Wolk, Anja Steffen, Klaus-Peter Knoch, Uta Ceglarek, Hans-Detlev Saeger, Michele Solimena, Stephan Kersting, Cell Transplantation, 2011

THE TREATMENT OF CHRONIC FLEXION CONTRACTURES OF THE PROXIMAL INTERPHALANGEAL JOINT
G. Abbiati, G. Delaria, E. Saporiti, M. Petrolati, C. Tremolada, Journal of Hand Surgery (British and European Volume), 1995
Mesenchymal Stem Cells in Lipogems, a Reverse Story: from Clinical Practice to Basic Science
Carlo Tremolada, Camillo Ricordi, Arnold I. Caplan, Carlo Ventura
Adipocyte Transplantation and Stem Cells: Plastic Surgery Meets Regenerative Medicine
Carlo Tremolada, Giancarlo Palmieri, Camillo Ricordi